已知單位向量,且,設

,則的最大值是______.
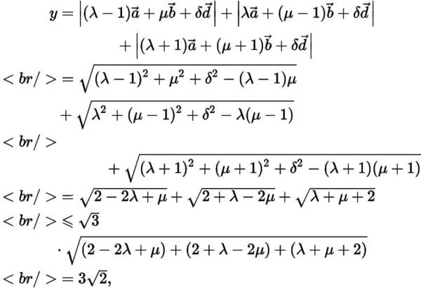
分析與解法一根據題意,有

,于是可得

因此

,類似的,可得

因此

是共面向量,且兩兩的夾角均為.設是與

均垂直的單位向量,且則此時

等號當時取得.因此所求的最大值為.
法二由柯西不等式,有

等號當

時取得.事實上,有

,于是可得

因此

,類似的,可得

因此

是共面向量,且兩兩的夾角均為.進而取與

均垂直,即可取得等號.因此所求的最大值為.
注如果限定所有向量為平面向量,也可對應的兩種方法:
法一此時,于是且.不妨設,則不難證明

等號當時同時取得,因此此時所求的最大值為.
注事實上,有
法二設,,,,且不妨設落在劣弧上(包括端點),那么等號當為外接圓的直徑,即時取得.因此所求的最大值為.
注事實上,有,由托勒密定理或者平面幾何的知識可以證明.
